光穩定劑 Tiangang? HS-200 (光穩定劑2020)
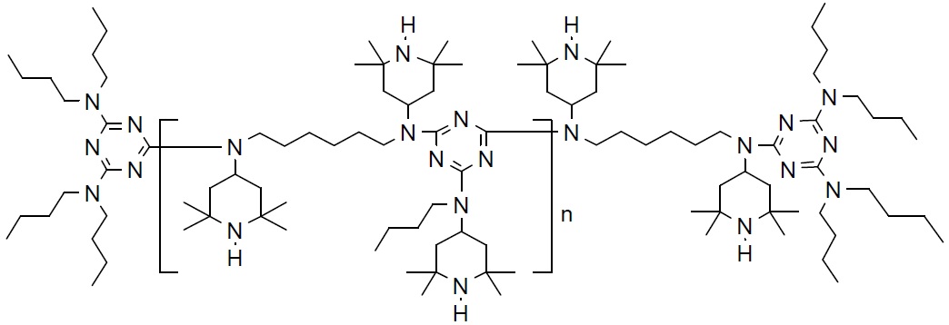
| 化學名稱 | 1,6-己二胺, N,N'-雙(2,2,6,6-四甲基-4-哌啶基)-, 與2,4,6-trichloro-1,3,5-triazin, 與N-丁基-1-丁胺的反應物及N-丁基-2,2,6,6-四甲基-4-哌啶胺的聚合物 1,6-Hexanediamine, N,N'-bis(2,2,6,6-tetramethyl-4-piperidinyl)-, Polymers with 2,4,6-trichloro-1,3,5-triazin, reaction products with N-butyl-1-butanamine and N-butyl-2,2,6,6-tetramethyl-4-piperidinamine |
| CAS號 | 192268-64-7 |
| 化學結構 | ![]() ![]() |
| 別名 | 光穩定劑 2020 |
| 主要用途及特性 | Tiangang? HS-200(光穩定劑2020)為高端聚合型光穩定劑2020進口替代產品,該產品具極佳的樹脂相容性,對著色、氣薰變色等均有較好的抑制作用,同時具備低遷移、低析出、耐抽提的特點。只需極少的添加量,即可有效防止高分子材料紫外光降解的發生,賦予各類高分子材料極佳的耐候性能;同時,本產品也可以顯著提升高分子材料的長效熱穩定性,并可以提升含有顏料制品的色彩表現能力。 作為聚合型高分子量受阻胺光穩定劑,Tiangang? HS-200具有與樹脂極佳的相容性和耐抽提性,可用于要求低揮發及少量遷移的系統中。特別適于薄膜與纖維中使用。本品被一些國家批準用于食品包裝。 |
儲存與包裝
本品易吸潮,需要在密閉、干燥、避光,且低于50℃的清潔環境中保存。
紙板箱/桶內襯塑料袋,25公斤/箱(桶)。也可根據用戶需要進行不同規格的包裝。
- Tiangang? HS-300
- 沒有了
相關資質
- 國家級高新技術企業
- 中國塑料加工工業協會,副會長單位
- 中國農用塑料應用技術學會農塑制品分會,副會長單位
- 全國塑料標準化技術委員會 老化方法分會,委
- 美國塑料工業協會SPI,會員單位

